Начала работу Юридическая служба Творческого объединения «Отечественные записки». Подробности в разделе «Защита прав».
Начала работу Юридическая служба Творческого объединения «Отечественные записки». Подробности в разделе «Защита прав».
Проблему отношения к миграции можно рассматривать не только в контексте межрегиональных и межнациональных отношений, но и как самостоятельный показатель социально-экономического напряжения, прямо связанный с восприятием обобщенного «другого», раскрывающий отношение к социальной иерархии, мобильности и т. п. Восприятие чужого, человека извне, позволяет реконструировать представления некоей общности о себе, о своих качествах, происхождении, перспективах дальнейшего развития, обозначить точки наибольшей конфликтности и неопределенности в отношениях.
Многолетние исследования трансформации российского социума, опирающиеся на данные об общественном мнении, свидетельствуют о характерной консервации его структуры, ослаблении восходящей, да и горизонтальной социальной мобильности, разочаровании в прогрессивном потенциале реформ, снижении ожиданий и, как следствие, понижающем типе адаптации, характерном для значительной доли населения современной России[1]. На фоне тревожной подавленности растет стремление к стабильности, к поискам твердой основы если не будущего развития, то хотя бы сиюминутного существования. При этом взгляды все чаще обращаются назад: потерянное ощущение великой общности, смысла и перспектив общественного развития многие склонны искать в советском прошлом, периоде «развитого социализма»[2]. Этот утраченный золотой век наделяется теми свойствами, которых так не хватает современности, — экономической стабильностью, устойчивой и «справедливой» общественной структурой, развитой системой социального обеспечения, отсутствием значительного неравенства, а следовательно и конкуренции, разобщенности, гордым чувством принадлежности к великой державе, которую во всем мире уважают и боятся. Воссозданный таким образом характер идеального общества дает представление о типе ценностных дефицитов в социально-экономической и политической сфере и о действии компенсаторных механизмов, актуальных для сознания многих граждан современной России.
Важнейшей чертой идеализированного общественного устройства в подобных представлениях безусловно является социальная справедливость. Острое ощущение ее отсутствия, выражающееся в резком расслоении общества и бедности большинства населения, активизирует чувства обиды и раздражения. Негативный опыт адаптации (или не столь позитивный, как хотелось в начале ре форм) привел многих к отрицательной оценке и перемен, наступивших после 1985 года, и достижений тех, кто преуспел в этот период, и самих принципов достижительности. Успех для большинства ассоциируется с нелегитимностью, несправедливостью. Тот, кто добивается успеха (реального или воображаемого) или хотя бы стремится к нему, воспринимается как незаконный конкурент. Чувство ущемленности подсказывает многим простое решение: чтобы защитить скудные ресурсы, которые могли бы улучшить их благосостояние, необходимо сократить круг тех, кто вправе на эти ресурсы претендовать.
Объявленная во второй половине 90-х годов всенародная кампания по поиску национальной идеи провалилась. Зато вполне успешно утверждается идея националистическая, редуцирующая основы национальной идентичности к этническому признаку. Одна из основных причин формирования именно этнической идеи нации кроется в отсутствии иных сколько-нибудь значимых символических характеристик или объединительных оснований гражданского характера[3], которые могли бы скрепить разобщенное и дезорганизованное большинство населения[4].
Характерно, что не только две трети русских респондентов выбирают этнический вариант самоидентификации, но и четверть тех, кто относит себя к другому этносу, предпочитают называться русскими, а не гражданами России. «Русская» самоидентификация отражает ценностно-иерархическую нагруженность этого этнонима, выходящую за рамки его нормальной функции — фиксации принадлежности к этносу. Молодые несколько чаще ощущают себя гражданами, а старшие — русскими, хотя во всех возрастных группах этническая составляющая самоидентификации превалирует, составляя в среднем по выборке около двух третей опрошенных.
Молодежь других национальностей, напротив, прибегает к гражданской самоидентификации реже, чем более старшие представители того же этноса. Принадлежа к социально активной возрастной группе, молодые (чаще мужчины) испытывают более сильное ассимиляционное давление и чаще идентифицируют себя с русскими, — в противном случае они признаются чужими, враждебными, наделяются негативными проекциями качеств, присвоенных «русскости». Фактически такая самоидентификация продиктована характером формирующейся российской национальной идентичности, которая опирается на этническую (русскую) основу.
Приверженность к гражданской самоидентификации более характерна для образованных респондентов, причем наиболее отчетливо эту приверженность демонстрируют те, кто по характеру своей деятельности общается с большим количеством людей или вовлечен в современные модели взаимодействия. Приверженность к этнической идентичности отчетливо выражена среди занятых неквалифицированным трудом; впрочем, в этой группе наиболее велика доля тех, кто вообще не осмысляет ситуацию в таких терминах.
Респонденты, приверженные к гражданской самоидентификации, чаще подчеркивают отсутствие принципиальных и иерархических различий между народами, критичнее относятся к качествам самих русских и более склонны призна вать ответственность народа за переживаемые им проблемы, реже ссылаются на вину нерусских и необходимость предоставления титульной нации особых прав в России.

Стоит заметить, что гражданская самоидентификация отнюдь не означает свободы от шовинистических предрассудков, но лишь смягчает их проявления. Так, представление о «засилье кавказцев» разделяет подавляющее большинство обеих групп. Незначительны и различия между этими группами по отношению к идеям «борьбы с нерусскими» и изгнания их из русских городов. А по вопросу о праве русских на исключительное положение в сравнении с другими народами мнения распределились примерно одинаково.
Оценочное отношение к этничности и соответствующие представления о привилегированном положении русских могут порождать конфликт при соприкосновении с представителями других национальностей, в поведении которых субъект не замечает признания своего превосходства[7].
Характерно, что наиболее распространенные причины неприязни к мигрантам не до конца рационализированы: «Они ведут себя агрессивно и нагло, они опас ны, я их боюсь», «Они везде, их слишком много» и т. п. Это ксенофобские реакции в словарном значении слова: они обусловлены страхом перед чужим, неизвестным. Таким фобиям, как правило, не сопутствуют сложные представления о характере социального взаимодействия, причинах и последствиях миграции, о конкуренции на рынке труда или культурной экспансии; они не дифференцируют приезжих по происхождению, этничности, целям их приезда. Подобная неприязнь поддерживается наиболее архаичными, рутинными страхами, которые внушены всем, что выходит за рамки повседневного опыта, и вызывают простейшую реакцию: стремление уклониться от дальнейших контактов с неизвестным, обеспечить для себя культурно однородную, предсказуемую среду обитания.

Негативное отношение к мигрантам объясняют традиционным недоверием к сфере торговли и предпринимательства, убежденностью, что приезжие «выживают коренное население с насиженных мест» и «живут лучше коренного населения», а также боязнью трудовой конкуренции. В последнем объяснении, однако, следует видеть скорее риторическую фигуру, нежели указание на реальную проблему.
Весьма характерным в «антимигрантском» комплексе является мнение, что мигранты прокладывают себе путь взятками, а их правонарушения остаются безнаказанными. Очевидно, что это мнение, как и другие подобные предрассудки, включает имплицитную оценку российского («русского») общества и государственной правоохранительной структуры, неустойчивых по отношению к внешним «разлагающим» воздействиям.
Негативное отношение к мигрантам и дискриминационная политика в их отношении часто оправдываются ссылками на то, что они не представляют никакой экономической ценности для принимающей страны, а лишь стремятся «поживиться за счет коренного населения», — хотя очевидно, что вакансии, занятые мигрантами, нельзя назвать привлекательными.

Иерархическое восприятие этносов ведет к выстраиванию своеобразной шкалы социальной дистанции, характеризующей степень «чуждости» той или иной этнической группы и, соответственно, готовность к взаимодействию с ней в том или ином качестве. Помимо культурно близких, едва ли не тождественных русским украинцев и белорусов, а также мифических «западных» иностранцев, в зоне «приемлемости», если принять за ее границу значение индекса социальной дистанции 2,5 (см. рис. 1), оказываются лишь мусульмане Поволжья (татары, башкиры и др.) и северные народы (якуты, чукчи и др.), традиционно входившие в состав России и ныне не вызывающие отторжения. Народы же Кавказа и Закавказья (в частности, чеченцы) в восприятии опрошенных оказались даже более далекими, чем народы, никогда не жившие в России и представляющие иные континенты. «Кавказцев», наряду с традиционно враждебно воспринимаемыми цыганами, наименьшая доля опрошенных готова принять даже в качестве жителей страны, не говоря уже о более тесных формах возможного взаимодействия.

Рисунок 1. Усредненный индекс социальной дистанции (2004 год, N=500)[8]

Рисунок 2. Индексы социальной дистанции по разным видам взаимодействия
Как видно из рис. 2, наиболее важными сферами взаимодействия являются семейные связи и соседские отношения, которые оказались даже важнее рабочих (это косвенно свидетельствует о неактуальности такого мотива ксенофобии, как трудовая конкуренция).

Характерно, что респонденты считают приезжих, как правило, менее враждебными, чем себя, т. е. настороженность русских имеет «опережающий» характер и превосходит воображаемую неприязненность чужаков. Два исключения из этого правила: отношение к «братским» народам (славянам и молдаванам), а также к американцам и западноевропейцам, которые подозреваются в более прохладном отношении к принимающей стороне. Такая неравномерность может указывать на бoльшую значимость этих связей, ожидание более теплого и справедливого отношения, отсутствие которого воспринимается как нечто обидное.
Значительная доля мигрантов вытесняется за пределы пространства, признанного «своим», уже в силу их этнического происхождения: отторжению подвергаются не конкретные люди, а целые регионы, поскольку их население маркируется как внешнее, враждебное. В основе неприязни к иноэтничным группам лежит «унитарное», изоляционистское представление о России как о стране, где живут русские.

Лишь чуть более четверти опрошенных решительно отказываются видеть какую-либо угрозу безопасности России в многонациональном характере российского государства и возможности приезда в Россию людей разных национальностей. Опасения в отношении нерусских граждан России в подавляющем большинстве случаев основаны на представлениях об ином характере их положения в государственной и гражданской структуре. Особенно ясно эти представления отразились в отношении к наиболее конфликтно воспринимаемой этнической группе — чеченцам. Немалая часть жителей России в последние годы склонна думать, что граждане чеченской национальности не заслуживают такого же отношения, как русские, живущие в центральных областях страны.
Наиболее «логичным» следствием обостренного восприятия угроз, исходящих от нерусских (граждан или мигрантов), становится стремление к этнической гомогенизации, превращению России в унитарное, мононациональное государство.

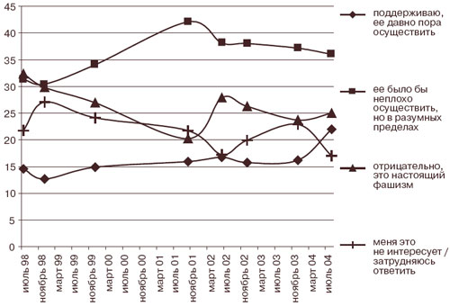
Рисунок 3. Как Вы относитесь к идее «Россия для русских»? (1998–2004 годы, процент от числа опрошенных, N=1600)
Бывший ранее неприемлемым для большинства населения лозунг приобретает все больше сторонников — не только открытых, чье число за полгода увеличилось на четверть, но и одобряющих его с некоторыми стыдливыми оговорками. Националистические, а подчас и просто нацистские идеи или действия все реже встречают отпор. Интересно, что на декларативном уровне подавляющее большинство все еще выражает свою приверженность универсалистским принципам, но одновременно выражает лояльность и по отношению к прямо противоположным лозунгам.

Амбивалентное отношение к националистическим идеям, характерное для значительной части российского общества, отражает конфликт между закреплявшимися годами в государственной идеологии лозунгами братства народов и практикой бытовой ксенофобии, значительно обострившейся за последние годы практически во всех социальных группах, вне зависимости от их демографических и социально-экономических характеристик и ценностно-политических установок[9].

Тот факт, что многие считают «нерусских» граждан России, не говоря уже о приезжих из бывших республик СССР, не вполне полноправными ее жителями, находит выражение в поддержке всевозможных ограничительных, а иногда и репрессивных мер по отношению к ним. Более половины опрошенных устойчиво поддерживают меры по ограничению числа приезжающих в Россию (а в определенных ситуациях доля одобряющих соответствующие меры может быть и существенно выше).

Зачастую население готово поддержать дискриминационные меры в отношении приезжих вне всяких рациональных соображений, подчас даже несмотря на их очевидную неэффективность.

Рисунок 4. Как Вы думаете, приведет ли к снижению вероятности террористических актов в Москве усложнение процедуры регистрации приезжающих в Москву? (2003 год, процент от числа опрошенных (московский опрос), N=500)
Как минимум половина опрошенных отмечает, что милицейский произвол часто провоцируется национальностью и «неместным» происхождением его жертв. Очевидно, что практика преследования людей по этническому признаку стала в восприятии многих граждан России делом привычным, «житейским». Они считают иноэтничность более распространенным поводом для милицейского преследования, чем принадлежность к другим «группам риска» — пьяницам, бомжам, подросткам.

Несмотря на массовое одобрение дискриминационных мер в отношении мигрантов и ограничения их прав, лишь небольшая доля опрошенных готова перейти от слов к действиям, чтобы обеспечить воплощение националистических ло зунгов. Однако снисходительное отношение к тем, кто берет на себя обеспечение этнической чистоты населения, весьма распространено — лишь половина опрошенных заявляет о недопустимости действия таких групп.
В то же время лишь треть опрошенных однозначно негативно воспринимает известия о реальных преступлениях националистических и фашиствующих групп. Реакции большинства варьируются от соболезнования жертвам погромов и недовольства беспорядками до злорадного удовлетворения тем, что «черные получили по заслугам».

Заключение
Проблема отношения к мигрантам, судя по всему, не только стоит особняком в общей миграционной проблематике, но подчас выходит за ее пределы, характеризуя состояние российского общества в целом, его важнейшие ценностные представления и поведенческие аспекты. С некоторой натяжкой здесь можно применить известный афоризм: в современной России мигрантофобия возможна и без значительного числа мигрантов. Уровень враждебности по отношению к иноэтничным и иноконфессиональным группам, да и просто к приезжим, непропорционально велик в сопоставлении с реальными изменениями условий жизни коренного населения, которые вызывает или может вызывать миграция. Одним из доказательств этого тезиса может служить то обстоятельство, что настороженность, неприязнь и желание выдворить из своей среды обитания «чужаков» проявляются и по отношению к тем группам, чьих представителей большинство мигрантоненавистников редко видит хотя бы издали, не говоря уже о том, чтобы непосредственно контактировать с ними в повседневной жизни.
При этом нелюбовь к приезжим носит не идеологический характер (реальная база поддержки националистов не превышает пяти-семи процентов, рекрутируемых из маргинальных молодежных групп), а скорее инструментальный, бытовой, ситуативный. Негативное отношение к мигрантам сигнализирует о внутренних напряжениях в современном российском обществе, о значительной распространенности понижающего типа социальной адаптации, о непреодолимых барьерах, мешающих социальной мобильности, а также формированию позитивных жизненных стратегий и их реализации.
Неприятие «инородцев» зачастую имеет чисто поведенческие корни: сталкиваясь со слишком активным, экспрессивным культурным типом, обыватель испытывает растерянность, не знает, как реагировать, раздражается и развивает упреждающую (иногда встречную) агрессию. Враждебное отношение к мигрантам естественным образом способствует сплочению иноэтничных групп, их го товности помогать «своим», упорно стремиться к успеху. Все это, в свою очередь, воспринимается русскими как экспансия, желание занять лучшее положение в обществе, так или иначе «оттеснить коренное население», «выжить русских с насиженных мест».
Относительные экономические успехи чужаков (реальные или воображаемые) нарушают нормативные представления коренного населения о должном — «позиционно-иерархическом» — порядке гратификации, согласно которому местные жители (вообще русские) обладают заведомым преимуществом при распределении жизненных благ . То, что другие их обгоняют, воспринимается как жестокая несправедливость. Осознание собственной неудачи (несоответствия запросов и реальных достижений) делает невозможным позитивное отношение к другому, признание его успехов, более того, подталкивает к поиску в другом моральных изъянов, позволивших ему добиться большего[11].

В целом миграция воспринимается большей частью российского общества как явление скорее вредное и опасное, нежели сулящее какие-либо выгоды России: соотношение положительных и отрицательных отзывов здесь составляет 15:85. Наиболее негативно высказываются о роли миграции респонденты, считающие, что они «не получили от реформ ничего хорошего», тогда как респонденты, считающие, что они в результате реформ выиграли (получили возможность свободно высказывать свое мнение, открыли собственное дело или нашли интересную, перспективную работу, освободились от вмешательства государства в частную жизнь), существенно чаще говорят о положительной стороне миграционных процессов — хотя и среди них превалирует негативное отношение к миграции.
Несмотря на значительное снижение порога чувствительности к публичному выражению шовинистических, а порой и нацистских взглядов, многие еще не готовы поставить свою подпись под наиболее одиозными лозунгами и идентифицировать себя с открытыми поборниками этнической чистоты. Однако «в разум ных пределах» большинство готово согласиться с подобными доктринами. К сожалению, сомнительный тон известных деклараций о потоплении злодеев в местах общего пользования настраивает население на столь же решительный лад во взаимодействии с любыми лицами, вызывающими подозрения уже хотя бы своею инаковостью. Разумеется, эта немудреная риторика сама по себе не рождает ксенофобию — она лишь придает форму давно копившемуся неясному чувству раздражения и обиды, вызванному узостью личных перспектив и разобщенностью общества. Сразу на весь мир не обидишься — вот и приходится искать критерии разграничения «своих» и «чужих». В отсутствие механизмов гражданского взаимодействия, сколько-нибудь значительной социальной мобильности и весомого опыта межкультурных контактов такими критериями становятся самые очевидные, внешние признаки принадлежности к общности: место рождения, язык, стиль одежды и поведения. В ситуации внутренней осады эти признаки превращаются в пароль, рассчитанный на отсечение «чужих». Однако исходная задача при этом так и остается нерешенной: исключение чужаков не дает позитивных оснований для формирования общности «своих».
[2] Подробнее о ностальгических и компенсаторных конструкциях в общественном сознании см.: Дубин Б. Лицо эпохи. Брежневский период в столкновении различных оценок // Мониторинг общественного мнения. 2003. № 3 (65). С. 25–32; Он же. Прошлое в сегодняшних оценках россиян // Мониторинг общественного мнения. 1996. № 5. С. 28–34.
[3] Обсуждаемые характеристики российской национальной идентичности основаны на типологическом противопоставлении этнической и гражданской (или политической, как в западных странах) концепции нации.
[4] О национальной нетерпимости в России см. также: Здравомыслов А. Национальное самосознание россиян // Мониторинг общественного мнения. 2002. № 2 (58). С. 48–54.
[5] Здесь и далее мы ссылаемся на данные опросов Левада-Центра и (для данных до 2003 года) опросов ВЦИОМ под руководством Ю. Левады. Все приводимые данные репрезентативны для всего взрослого населения России или взрослого городского населения. В заголовке таблицы приводится размер выборки.
[6] В силу существенной зависимости оценок, связанных с проблемами миграции, от этнической принадлежности мы будем опираться на данные, характеризующие лишь взгляды русских, так как формат настоящей статьи не позволяет провести детального сопоставления взглядов респондентов различных национальностей.
[7] О проблеме иерархически-оценочного выстраивания общностей по принципу происхождения см.: Борусяк Л. Патриотизм как ксенофобия (результаты опроса молодых москвичей) // Вестник общественного мнения. Данные. Анализ. Дискуссии. 2004. № 6 (74) [в печати].
[8] В общественных науках используются различные методики измерения социальной дистанции. Наиболее известной из них является так наз. шкала Богардуса. Соответствующим показателем на этой шкале служит та степень, в которой респондент готов допустить представителя данной этнической группы в качестве жителя его страны, коллеги по работе, соседа, родственника и т. п. В ходе проведенного в Левада-Центре исследования использовалась модифицированная методика, опирающаяся на сходный принцип. Вместо традиционной семибалльной использовалась четырехбалльная шкала, значения которой соответствовали оценкам от «целиком положительно» до «целиком отрицательно». В статье приводятся усредненные индексы социальной дистанции, аппроксимирующие дистанцию для каждого этноса по разным видам взаимодействия. Пример применения шкалы Богардуса для анализа межэтнических отношений на постсоветском пространстве см.: Паниотто В. Динамика ксенофобии в Украине, 1994–2002 // Социология: теория, методы, маркетинг. Киев, 2003. № 3 (июль). С. 74–92.
[9] О характере распространения ксенофобии см.: Леонова А. Настроения ксенофобии и электоральные настроения в России в 1994–2003 гг. // Вестник общественного мнения. Данные. Анализ. Дискуссии. 2004. № 4 (72). С. 83–91.
[10] Приведены данные трех опросов, проведенных Левада-Центром в 2004 году по заказу Фонда «Общественный вердикт» с целью изучения нарушений прав граждан правоохранительными органами. Первые два опроса проводились среди врачей скорой помощи и травмопунктов в 42 городах, третий — по репрезентативной выборке населения в средних и крупных городах. Подробнее о результатах этих исследований см.: Гудков Л., Дубин Б., Леонова А. Милицейское насилие и проблема «полицейского государства» // Вестник общественного мнения. Данные. Анализ. Дискуссии. 2004. № 4 (72). С. 31–47.
[11] Гудков Л. К проблеме негативной идентификации // Гудков Л. Негативная идентичность: Статьи 1997–2003 гг. С. 280.